The COVID-19 pandemic not only affected individuals through infections but also had an impact on overall health. A recent study led by Professor Eva Grill, an epidemiologist at LMU, revealed a significant decline in vitamin D levels during the pandemic, particularly among older women and urban residents.
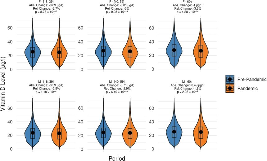
Analyzing routine data from over 292,000 patients in Bavaria, the researchers found that the mean serum level of 25-hydroxy vitamin D decreased from 26.7 µg/l to 26.0 µg/l during the pandemic period. Additionally, the proportion of people with vitamin D deficiency (below 20 µg/l) increased from 31.2% to 35.2%. These changes were statistically significant, even after adjusting for age, gender, and season.
The study attributed the decline in vitamin D levels to factors such as lockdowns, remote work, and changes in leisure activities, which reduced sunlight exposure for many individuals. Elderly women over 60 and young adults aged 18-39 were most affected by the decrease in vitamin D levels. Urban dwellers also showed higher deficiency rates compared to rural areas, likely due to factors like limited sunlight exposure in urban environments.
Interestingly, despite women generally taking more vitamin D supplements than men, they experienced a greater decrease in vitamin D levels during the pandemic. This discrepancy may be linked to social and psychological factors such as stress and limited access to healthcare services.
The study highlighted the value of routine medical data as an early warning system for public health trends. By integrating laboratory, billing, and healthcare information, researchers can monitor changes in nutrient levels, metabolic parameters, and vaccination rates in real-time. This data-driven approach can inform preventive health policies and interventions.
In conclusion, the study underscores the importance of maintaining adequate vitamin D levels, especially during challenging times like the COVID-19 pandemic. Future research and public health initiatives can benefit from utilizing routine data to track and address health-related trends effectively.

